GP300 cosmic-ray candidates to be shown at ICRC 2025: Reconstruction¶
Find the list of selected CR candidates in GP300_cosmic-ray_candidates_to_be_shown_at_ICRC_2025_Selection.
We have three reconstruction efforts running in parallel:
- Lukas + Kewen
- Marion + Pauline (from E-field and from voltage)
- Arsène + Aurélien (GNN and pGNN)
- Jean-Marc (still in development)
The scripts to generate the plots of distributions were written by Mauricio. They are available in a private GitHub repository (https://github.com/mbustama/plots_grand_cr_candidates). If you wish to access them, please ask to be added as collaborator. The repository also contains the files with the reconstructed CR properties, but they are also included in this page, below, for each of the reconstruction methods.
CR search at the 2025 GRAND Collaboration Meeting¶
Presentations¶
(Link to the full Indico timetable: https://indico2.fuw.edu.pl/event/18/timetable/#20250602)
- CR studies with GP300, by Clément Prévotat: https://forge.in2p3.fr/attachments/443062
- Exposure calculation for GP300, by Sei Kato: https://forge.in2p3.fr/attachments/443063
- CR search with GP300, by Jolan Lavoisier: https://forge.in2p3.fr/attachments/443066
- GP80 event candidates and exposure predictions for GP300 and GRAND10k, by Lukas Gülzow
- Reconstruction of GP80 CR candidates with ADF, by Marion Guelfand: https://forge.in2p3.fr/attachments/443064
- GNN recons of GP300 events, by Arsène Ferrière: https://forge.in2p3.fr/attachments/443064
- CR analysis pipeline , by Mauricio Bustamante: https://forge.in2p3.fr/attachments/443061
Conclusions of CR search mini-workshop¶
Showing top candidates¶
- CR31 is our best candidate (few holes in radio footprint on the array, decent LDF reconstruction, energy and direction not too dissimilar between different reconstruction methods, E-field trace is not the worst). This will be the candidate that we put up front in the GRAND ICRC talks (i.e., in Olivier's general GRAND talk). [Note: find candidate CR31 in my slides of the mini-workshop on Indico.]
- Show the best-fit value of the reconstructed energy of CR31. Be clear that it is an approximate value only (use ~ instead of =). Do not show error bars. [We will not be able to show robust energy estimates until we show the issue of individual DU calibration.]
- Show the reconstructed zenith and azimuth, without error bars
- Show the reconstructed energies and directions obtained by the different methods, to show that the reconstruction is maturing
- In addition to CR31, we will show other top candidates (CR0, CR3, CR4, CR10, CR18, or a subset of them), but these are more problematic than CR31 (have more holes, worse LDF fit, etc.)
Showing distributions¶
- Showing distributions of the reconstruction energies and directions, while early, show that our analyses are maturing, and represents a taste of things to come.
- Show the 1D distribution of reconstructed energy obtained using different reconstruction methods (see to-do below). Explore different possibilities to show this (see to-do below).
- Show the 2D distribution of reconstructed directions (see to-do below). Do not show the density map of events as background, since it could incorrectly be interpreted as this being a mature result.
Additional conclusions¶
- Quote the estimated CR detection rate in GP300
- Show more details about the reconstruction methods in Jolan's ICRC talk.
To-do¶
- Sei, Xishui, and Washington will compare their estimates for the CR detection rate in GP300.
- Explore different alternatives to show the 1D distribution of neutrino energy: as a histogram, a probability distribution function, etc. (Mauricio + others)
Final thoughts¶
- Be conservative in what we present at the ICRC. It should be clear that what we show now are early-data results and that it is work in pgoress.
- Many members have been involved in the CR selection and reconstruction efforts, many early-career scientists. Personally, I would like their work to be recognized publicly in a setting as important as ICRC. To do that, I [MB] believe we should include their names on the slides where Olivier will show the first CR candidates.
File containing results from all CR reconstruction methods¶
Updated on: 2025-06-05
Download here: https://forge.in2p3.fr/attachments/443026
Reconstruction using method by Lukas + Kewen (data set from 2025-06-04)¶
Reconstructed properties of the CR candidates: https://forge.in2p3.fr/attachments/443059
In the plots below, candidates with poor energy reconstruction (i.e., no error on the reconstructed energy, or an error that is larger than the best-fit value) have been filtered out.
2D joint parameter distributions:

2D joint parameter distributions, using only candidates from January 2025:

Reconstruction using method by Marion + Pauline, from E-field traces (data set from 2025-05-30)¶
Reconstructed properties of the CR candidates: https://forge.in2p3.fr/attachments/439966
This method does not yield errors on the reconstructed CR properties, only best-fit values.
In the plots below, candidates with failed directional resolution have been filtered out.
2D joint parameter distributions:

2D joint parameter distributions, using only candidates from January 2025:

Reconstruction using method by Marion + Pauline, from voltage traces (data set from 2025-05-30)¶
Reconstructed properties of the CR candidates: https://forge.in2p3.fr/attachments/439966
This method does not yield errors on the reconstructed CR properties, only best-fit values.
2D joint parameter distributions:

Reconstruction using method by Arsène + Aurélien, GNN (data set from 2025-05-24)¶
Reconstructed properties of the CR candidates: https://forge.in2p3.fr/attachments/439963 (and https://forge.in2p3.fr/attachments/439962 for energies)
For the reconstruction data set of 2025-05-24, the GNN was trained on an outdated RF-chain and effective antenna lengths.
2D joint parameter distributions:

Reconstruction using method by Arsène + Aurélien, pGNN (data set from 2025-05-24)¶
Reconstructed properties of the CR candidates: https://forge.in2p3.fr/attachments/439964 (and https://forge.in2p3.fr/attachments/439962 for energies)
For the reconstruction data set of 2025-05-24, the GNN was trained on an outdated RF-chain and effective antenna lengths.
2D joint parameter distributions:

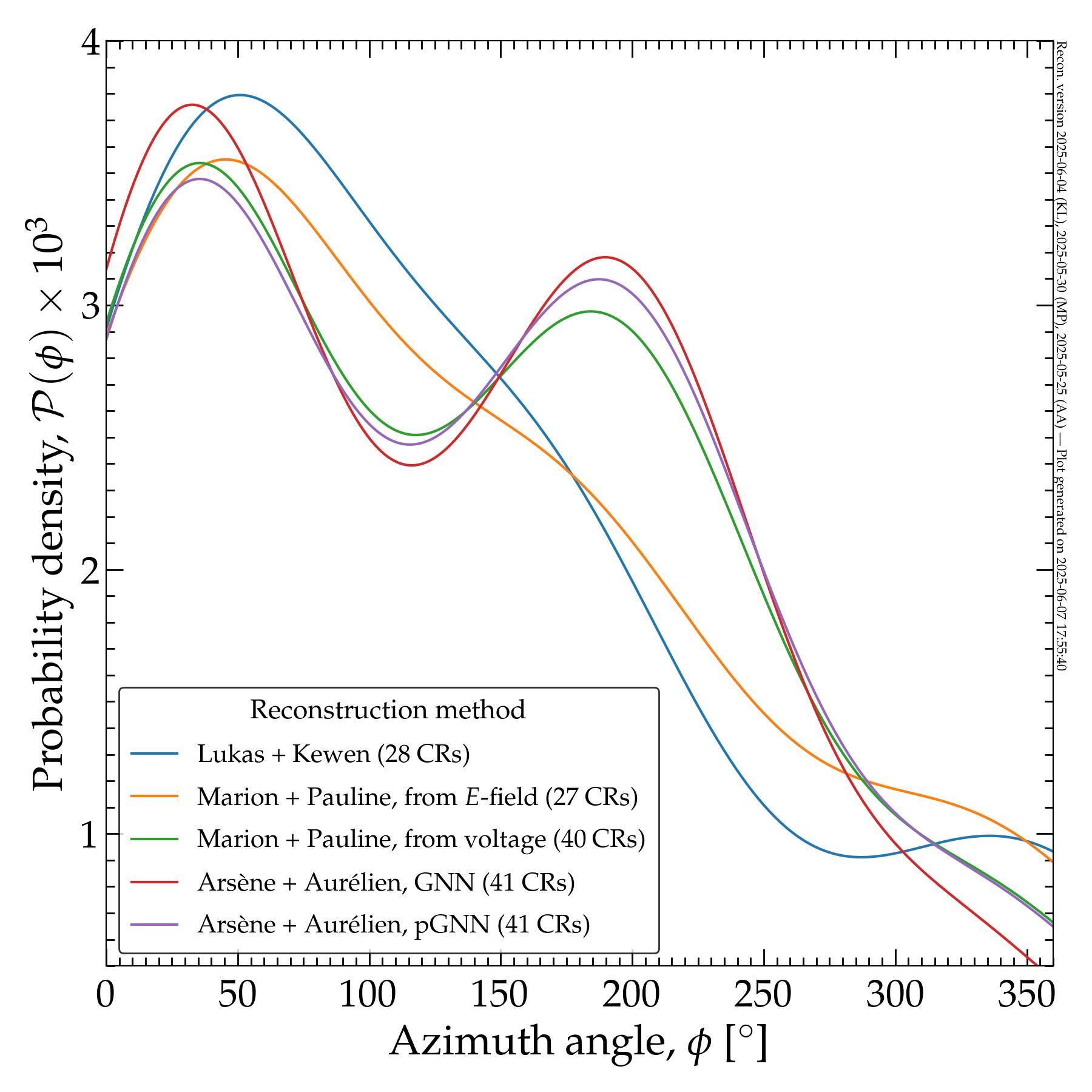
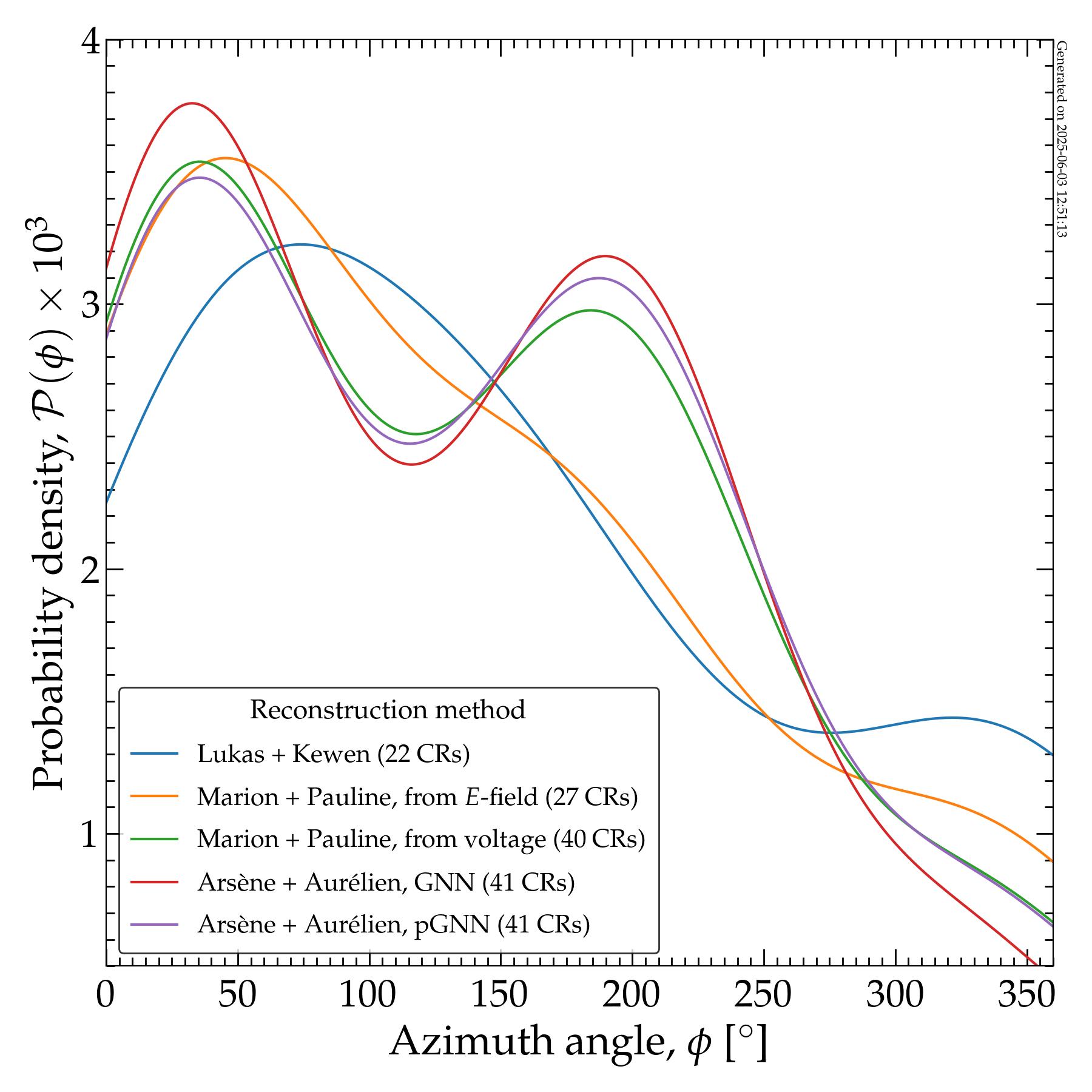
Comparison of one-dimensional CR distributions between different reconstruction methods¶
Data sets used:- Lukas + Kewen: from 2025-05-24
- Marion + Pauline, from E-field traces: from 2025-05-30
- Marion + Pauline, from voltage traces: from 2025-05-30
- Arsène + Aurélien, GNN: from 2025-05-24
- Arsène + Aurélien, pGNN: from 2025-05-24

Preliminary skymaps¶
Reconstruction by Arsène + Aurélien, pGNN (from 2025-05-24):¶

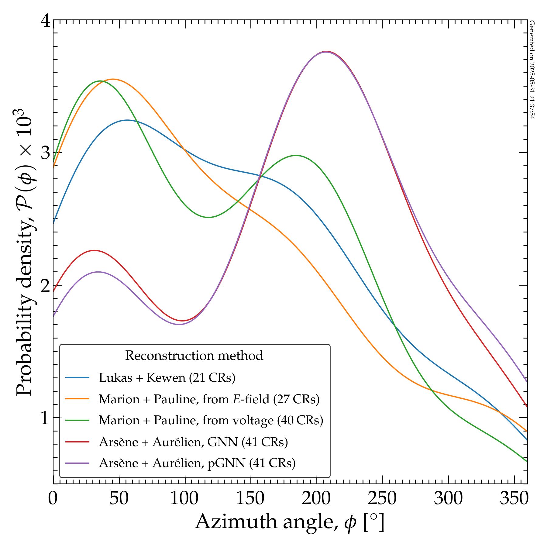
Comparison of reconstruction methods candidate-by-candidate¶
Data sets used:- Lukas + Kewen: from 2025-06-04
- Marion + Pauline, from E-field traces: from 2025-05-30
- Marion + Pauline, from voltage traces: from 2025-05-30
- Arsène + Aurélien, GNN: from 2025-05-24
- Arsène + Aurélien, pGNN: from 2025-05-24
Note from MB: The correctness of the CRx labels in the top x-axis of these plots needs to be checked


